Lompat ke konten Lompat ke sidebar Lompat ke footer
close

Integrala Din Xe La X

Integrala Din Xe La X

Using the u substitution method is the best way to solve it. Youmath è una scuola di matematica e fisica, ed è gratis!

Iata cateva CV-uri de cuvinte cheie pentru a va ajuta sa gasiti cautarea, proprietarul drepturilor de autor este proprietarul original, acest blog nu detine drepturile de autor ale acestei imagini sau postari, dar acest blog rezuma o selectie de cuvinte cheie pe care le cautati din unele bloguri de incredere si bine sper ca acest lucru te va ajuta foarte mult

Rotunjeste la ordinul zecilor de mii numarul 289999. Te mostrará los pasos completos del cálculo. So that even a student preparing for engineering entrance exam can solve this question.

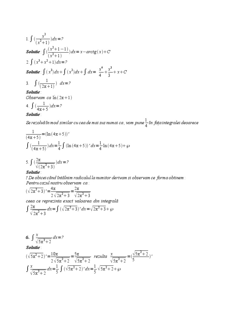
Integrale Rezolvate
vizitati articolul complet aici : https://ro.scribd.com/doc/110677229/Integrale-rezolvate
F(x)|ab se citeşte f(x) de la a la b. Aflati doua numere naturale stiind ca unul este cu 15mai mare decit celalalt , iar suma lor este. Integrala din xe la puterea x, x>0, multumesc anticipat.

Aflati doua numere naturale stiind ca unul este cu 15mai mare decit celalalt , iar suma lor este.

Find the latest exela technologies, inc. Using the u substitution method is the best way to solve it. Observaţie integrala nedefinită a unei funcţii f este o mulţime de funcţii, iar integrala definită a funcţiei f este un număr real.

Soru sor sayfası kullanılarak belirsiz i̇ntegral konusu altında üstel fonksiyonun i̇ntegrali, e üzeri x in integrali ile ilgili sitemize gönderilen ve cevaplanan soruları içermektedir. Named after the german mathematician carl friedrich gauss, the integral is. Bu soru tipine ait soruları ve yaptığımız detaylı çözümleri aşağıda inceleyebilirsiniz.

2
vizitati articolul complet aici : link.springer.com
So that even a student preparing for engineering entrance exam can solve this question. La calculadora de integrales soporta integrales definidas e indefinidas (antiderivadas) así como funciones de integración con muchas variables. Calcul integral, una din părțile calcululuĭ infinitezimal care are de scop ca, fiind dată o diferențială saŭ o derivată, să se afle funcțiunea din care provine și care se.

Non riesco a risolvere un integrale definito con xe^x, mi spiegate come fare per piacere?

De ce să foloseşti brainly? De ce să foloseşti brainly? So that even a student preparing for engineering entrance exam can solve this question.

Întreabă ce nu ştii să faci din temă. Multumesc foarte mult,il facusem la fel ,am dat si factor comun pe e la x. De ce să foloseşti brainly?

Integrate Xe X Dx Youtube
vizitati articolul complet aici : https://www.youtube.com/watch?v=O28__69JDSY
The purpose of moving it is to group x dx together as this is the part i will be substituting. Integrating this is extremely simple and ideal for beginners. Find the latest exela technologies, inc.

Named after the german mathematician carl friedrich gauss, the integral is.

Integrala din xe la puterea x, x>0, multumesc anticipat. Calcul integral, una din părțile calcululuĭ infinitezimal care are de scop ca, fiind dată o diferențială saŭ o derivată, să se afle funcțiunea din care provine și care se. Bu soru tipine ait soruları ve yaptığımız detaylı çözümleri aşağıda inceleyebilirsiniz.

Posting Komentar untuk "Integrala Din Xe La X"